range: [-1, 1]
summary
link: https://www.kaggle.com/code/dschettler8845/novo-esp-eda-baseline
- the formula:
-
-
(or ) is the Spearman’s Correlation Coefficient
-
n is the number of points in the dataset
-
is the difference (in integer rank) between yhat and y
-
- the formula for non-integers:
- I assume that rg is the rank array of X and Y
- https://www.kaggle.com/code/carlolepelaars/understanding-the-metric-spearman-s-rho/notebook
- btw this notebook has good code for it using diff libraries
- The metric assesses how well the relationship between two variables can be described using a monotonic function
- makes sense, cause it’s a correlation function
- Similar to Pearson’s Correlation Coefficient, however Spearman’s assesses monotonic relationships (whether linear or not)
- How to get a perfect score of +-1?
- there are no duplicates
pros
- use when you want to make a model that can properly order n objects
- you want the order of y_predicted to be in the same order as y_target
Cons
- https://statisticsbyjim.com/basics/spearmans-correlation/
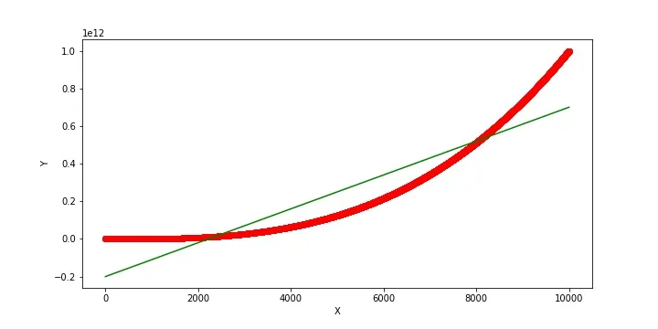
- doesn’t work for curvilinear relationships:

- the red line is y, the green is yhat.
- yhat doesn’t fit the data well, but the score is 0.92 (high!)
- Doesn’t work when your label column is unstable AND your target column can have duplicate labels
- e.g. in Google QUEST Q&A Labeling, the question_type_spelling only had a few rare events
- so ppl had to “fiddling with threshold values” (to determine which target label it should be postprocessed into)
- this metric doesn’t work well for columns like this!
- maybe MSE would’ve worked better, since a change in rank is a discrete jump in error
- e.g. in Google QUEST Q&A Labeling, the question_type_spelling only had a few rare events
Important Considerations
- https://www.kaggle.com/c/google-quest-challenge/discussion/118724
-
The spearman’s correlation coefficient only considers the order of values
-
Even though array b is monotonically increasing, it has a lower spearman score
a = np.array([0.5, 0.5, 0.7, 0.7]) b = np.array([4., 5., 6., 7.]) print_spearman(a, b) # ⇒ 0.89
b2 = np.array([4., 4., 6., 6.]) print_spearman(a, b2) # ⇒ 1. ```
-
-
So it is important to predict whether consecutive terms are the same value
-
- why might this happen?
- the target column in your dataset was evaluated using a rubric, not relative to the other rows