• https://arxiv.org/pdf/1904.09671v1.pdf
    • In supervised graph classification, the task is to solve an end-to-end whole-graph classification problem (i.e. the problem of as-signing a label to the entire graph).
      • hese supervised approaches [ 33 , 36, 45 , 61 ] learn an intermediate representation of an entire graph as a precondition in order to solve the classification task.
    • but is heavily biased towards maximizing performance on the classification task of interest.
    • Transformer GNNs vs sparse GNNs
  • https://towardsdatascience.com/the-intuition-behind-graph-convolutions-and-message-passing-6dcd0ebf0063
    • Graph convolution
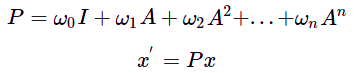
      • w are the learnable weights.
      • A is the adjacency matrix
        • the problem: if we change the topology of the graph, won’t the adj matrix change? wouldn’t our matrices w be invalid?
          • we’re only learning weights for this specific graph
        • I think the article is just keeping it simple and making an analogy. In reality we’ll just use an aggregation function for hte neighbouring hidden weights (so we aren’t training for a specific graph topology)
      • Note that higher orders of A just means that we are considering node features u-hops away where u is the power of the adj matrix (this is a property of adj matrices. look it up!)
        • why even have higher orders of A?
          • so we can get more data from further neighbours.
          • If this was an image net, this is analogous to increasing our kernel size for the convolution (3x3 → 5x5)
    • message passing:
        • where X are ALL the feature vectors for each node in the graph
      • Feature passing is an approximation of Graph convolution. instead of different powers of A, we get the next X for the next layer using only one power of A
        • note that we add I to the matrix, so we also add our OWN features to the weighted sum of neighbouring feature vectors to get our next feature vector
      • it’s called message passing since we’re only doing 1-hop vector transfers from neighbouring vectors
      • normally, in a MP-GNN, we approximate graph convolutions by applying message passing multiple times (we iteratively do this operation with more layers in our GNN)
    • It is possible to use graph Laplacian instead of adjacency matrix to pass feature differences instead of feature values between nodes.
      • isn’t the Laplacian matrix just an adj matrix but with the diagonal representing the number of indegrees of each node
      • TLDR: you can create the Laplacian from the adj matrix. they are one-to-one
    • basically, we’re just doing a weighted average of the neighbouring embeddings * by the weight matrix